Background

Renal failure (RF) is a well-known complication in patients with multiple myeloma (MM). It is reported that RF occurs in 20% to 50% of patients at the time of diagnosis. Approximately 10% will require hemodialysis. It is important to consider that RF determines a worse short-term prognosis and decreased survival in these patients, especially for those requiring dialysis.

Methods

An international, multicenter, retrospective observational cohort study was conducted. Data were collected from the GELAMM retrospective Registry. We analyzed demographical and clinical characteristics, and overall survival (OS) of newly diagnosed MM patients without RF, patients with RF not requiring hemodialysis (HD), and patients with RF requiring HD. The logistic regression model was used to identify risk factors for worse outcomes.

Results

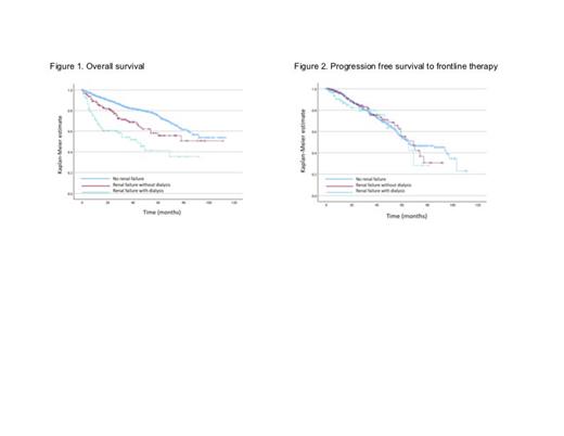
We included 1104 NDMM patients ≤ 65 years old from GELAMM registry: 854 patients without renal failure, 161 patients (15%) with RF not requiring HD, and 89 patients (8%) requiring HD. There were no differences in terms of demographic and clinical characteristics. With a median follow-up time of 29 months, the median OS was not reached (NR) in patients without RF and in patients with RF without HD requirement, however, it was 43 months (27 - 58 months) in patients with renal failure requiring HD (p=<0.001). The HR for mortality in patients with RF without HD was 1.75 (1.27 -2.41) and for RF and HD 3.49 (2.47 - 4.93) (p< 0.001). The one-year mortality among the three groups was 7% for patients without RF, 12% in patients with RF not requiring dialysis, and 30% in patients with RF requiring dialysis. The multivariate analysis showed that having proceeded with ASCT as a favorable prognostic factor HR 0.238 (0.129-0.521) p< 0.001 and high-risk cytogenetics as an unfavorable prognostic factor HR 2.936 (1.242-6.922) p=0.014.

Discussion

Renal failure confers a worse prognosis in Latin American patients with newly diagnosed multiple myeloma, especially for those who require dialysis, and increases one-year mortality more than 4 times. The use of ASCT decreases the risk of worse time-dependent outcomes, and high-risk cytogenetics increases the risk of death.

Peña:Janssen: Other: Congress Travel expenses.

This content is only available as a PDF.
Sign in via your Institution